Объявление

Свернуть
Пока нет объявлений.

Размышлизмы

Свернуть
X
 
  • Фильтр
  • Время
  • Показать
Очистить всё
новые сообщения

  • GaryK
    Участник ответил
    Сообщение от Турист Посмотреть сообщение
    GaryK.

    Очень хорошо. Начинаем мыслить )))

    То есть, зарплата в пересчете в долларах может меняться в силу укрепления либо ослабления доллара?

    А теперь представь себе ситуацию. За прошедшие 20 лет доллар значительно укреплялся и слабел несколько раз. Поэтому зарплата при пересчете злотых в доллары столько же раз изменялась.
    Мыслить? Даже не думал прекращать. :)

    Они (поляки) уже давно перестали пересчитывать всё в доллары, где-то после деноминации 1994 года. Они даже в еврозону не подались, у них есть своя валюта и их она вполне устраивает.

    Ну, а то, что плохо умеющие считать наши соотечественники и те умудряются найти там работу, лишь о том и говорит, что да, там есть проблема в раб силе, и они её решают по мере поступления наших выпускников школ в их ВУЗы. :)

    Прокомментировать:


  • Турист
    Участник ответил
    А кто так написал? Ты написал, что сейчас зарплата (в долларах) меньше, чем двадцать лет назад (в долларах). Правильно я понял? Ой пропустил - в Польше. Теперь правильно?
    И теперь не правильно.

    Правильно было так:

    GaryK
    Интерес польский как раз понятен. Привлекают дешевую раб.силу. У самого сын работает в Варшаве после окончания польского вуза. Недавно разговаривали, так ребенок сказал что сейчас средняя зарплата в Польше в злотых, в пересчете на баксы ниже чем 20 лет назад.
    Кто-то должен зарабатывать полякам на высокие пенсии. А они так реально высокие, пенсионный фонд Польши в долгах как в шелках. Поляки успешно реализуют греческий сценарий с отставанием по времени от греков.
    Во-первых, я не выдвигал никаких тезисов, которые мне потом надо было бы доказывать.

    Во-вторых, я написал сообщение, в котором передал мнение другого лица.

    В-третьих, я тебе пообещал, что выясню, на чем это информация основана, и постараюсь раздобыть первоисточник. Может быть, это уже завтра смогу сделать, когда свяжусь с источником информации.

    По моему , Турист тут из всех дураков пытается сделать.
    Скользкий тип.
    Forest.

    Я же не виноват в том, что кто-то невнимательно прочитал мое сообщение и потом попытался агрессивно меня атаковать.

    Он теперь и выглядит дураком. Потому что пули прошли мимо цели, а я на все заданные мне вопросы четко ответил.

    - - - Добавлено - - -

    Сообщение от GaryK Посмотреть сообщение
    3 июля 2017 доллар стоил 3,7196
    сегодня, 3 февраля 2018, он стоит 3,3329

    На сколько выросла там з/п за полгода в долл, даже при условии отстутствия ее роста в зл, а она растёт и в злотых, считайте сами.

    Кстати, евро 4,2331 тогда и 4,1615 сейчас. :)
    GaryK.

    Очень хорошо. Начинаем мыслить )))

    То есть, зарплата в пересчете в долларах может меняться в силу укрепления либо ослабления доллара?

    А теперь представь себе ситуацию. За прошедшие 20 лет доллар значительно укреплялся и слабел несколько раз. Поэтому зарплата при пересчете злотых в доллары столько же раз изменялась.

    Прокомментировать:


  • GaryK
    Участник ответил
    Немного простой статистики от Народовего Банка Польскего.

    3 июля 2017 доллар стоил 3,7196
    сегодня, 3 февраля 2018, он стоит 3,3329

    На сколько выросла там з/п за полгода в долл, даже при условии отстутствия ее роста в зл, а она растёт и в злотых, считайте сами.

    Кстати, евро 4,2331 тогда и 4,1615 сейчас. :)

    Прокомментировать:


  • Forest
    Участник ответил
    По моему , Турист тут из всех дураков пытается сделать.
    Скользкий тип.

    Прокомментировать:


  • ОЛЕГ1972
    Участник ответил
    Зачем писать, что зарплата в Польше в злотых растет непрерывно.
    А кто так написал? Ты написал, что сейчас зарплата (в долларах) меньше, чем двадцать лет назад (в долларах). Правильно я понял? Ой пропустил - в Польше. Теперь правильно?

    А вот информация о том, что зарплата относительно доллара уменьшилась, даже в периоде времени, это любопытно.
    Почему это произошло.
    Это не любопытно, и это не почему не произошло - потому что это неправда (пишу конкретно про 1997 и 2017 г.).
    Зарплата (в Польше) двадцать лет назад составляла (приблизительно) 1200 злотых, что в пересчёте на доллары по курсу (1998 года) равнялось (приблизительно) 350 долларов. В 2017 году зарплата (в Польше) составила (приблизительно) 4800 злотых, что по курсу 2017 года составило (приблизительно) 1400 долларов.
    Если 350 долларов больше чем 1400 то конечно ты прав...
    Всё, теперь точно закончил.
    Последний раз редактировалось Турист; 03.02.2018, 15:55.

    Прокомментировать:


  • Турист
    Участник ответил
    Тезка, ты занимаешься сейчас словоблудием ИМХО.
    Написал я "зарплата в Польше", не написал ни "в злотых" ни "в долларах" и что, смысл от этого изменился кардинально?
    Конечно изменится.

    Зарплата в злотых может расти постоянно, а в отношении к доллару США может расти или понижаться.

    А разве что-то другое было написано? Зачем же критиковать то, чего не было?

    Вот ты думаешь, для чего это сообщение мною было написано?

    Зачем писать, что зарплата в Польше в злотых растет непрерывно. Эта информация не для "размышлизмов". Это слишком банально для того, чтобы на этом делать акцент.

    А вот информация о том, что зарплата относительно доллара уменьшилась, даже в периоде времени, это любопытно.
    Почему это произошло. Как часто это было и т.д.

    В этом и есть "размышлизмы". Чтобы узнавать интересное и анализировать.

    Теперь понятно, почему я настаиваю на точном соблюдении моей цитаты?

    Прокомментировать:


  • ОЛЕГ1972
    Участник ответил
    Сообщение от Турист Посмотреть сообщение
    ...
    Специально выделил слова цитаты и цитирующего, чтобы была видна разница и было понятно, что именно искажено при цитировании.

    Надо положить рядом ту таблицу, которую ты повесил в зарплатой в злотых, и рядом положить такую же таблицу зарплаты в USD. Вот это будет правильно.
    Тезка, ты занимаешься сейчас словоблудием ИМХО.
    Написал я "зарплата в Польше", не написал ни "в злотых" ни "в долларах" и что, смысл от этого изменился кардинально?
    Зарплаты в Польше в USD не платили никогда, всегда в злотых. Потому и зарплату надо пересчитывать на курс доллара на момент этой зарплаты.
    Зачем приводить две таблицы? 1200 злотых в 1998 году никак не будут больше 1400 долларов, так как курс доллара должен при этом быть меньше одного злотого, а такого не было никогда.
    Всё, прекращаю размышлять здесь, потому что очевидные факты не принимаются...

    Прокомментировать:


  • Турист
    Участник ответил
    Сообщение от Болотный Корч Посмотреть сообщение
    Турист,
    Олег, каяться не трэба. Ты ведь ничего не утверждал, а просто услышал и озвучил здесь мнение сына. Конечно, оно ошибочное. Молодость, бывает.
    Предлагаю завершить.
    Ну, почему же ошибочное. Пан-студент учил польскую статистику. И недавно. И наверное, сможет что-то нам интересное рассказать. Так почему бы не послушать? :) Что читала польская же профессура.

    - - - Добавлено - - -

    Олег1972.

    Теперь по твоим вопросам.

    1. Теща не твоя. Теща кума. Был невнимателен к этому факту.
    2. Про пенсионный фонд ты не писал, но я писал. Это часть моей цитаты?
    3. Разговор только о зарплате в Польше сейчас и два десятилетия тому.
    4.
    Про критику не твоих цитат вообще не понял. Это не твою цитату приводил?
    Вот здесь как раз и есть к тебе вопросы.

    Ты написал:
    Ни чего не имею против честно написанного. А про неправду честно привел цитату. В ней нет впечатлений, счастья от езды на велике и про СССР нет ни слова. Там про зарплату в Польше, которая сейчас ниже чем двадцать лет назад.
    а в оригинале было не так:
    Интерес польский как раз понятен. Привлекают дешевую раб.силу. У самого сын работает в Варшаве после окончания польского вуза. Недавно разговаривали, так ребенок сказал что сейчас средняя зарплата в Польше в злотых, в пересчете на баксы ниже чем 20 лет назад.
    Кто-то должен зарабатывать полякам на высокие пенсии. А они так реально высокие, пенсионный фонд Польши в долгах как в шелках. Поляки успешно реализуют греческий сценарий с отставанием по времени от греков.
    Так что, как ты написал сам
    Хто-та врот...
    Специально выделил слова цитаты и цитирующего, чтобы была видна разница и было понятно, что именно искажено при цитировании.

    Надо положить рядом ту таблицу, которую ты повесил в зарплатой в злотых, и рядом положить такую же таблицу зарплаты в USD. Вот это будет правильно.
    Последний раз редактировалось Турист; 03.02.2018, 10:42.

    Прокомментировать:


  • Болотный Корч
    Участник ответил
    Турист,
    Олег, каяться не трэба. Ты ведь ничего не утверждал, а просто услышал и озвучил здесь мнение сына. Конечно, оно ошибочное. Молодость, бывает.
    Предлагаю завершить.

    Прокомментировать:


  • ОЛЕГ1972
    Участник ответил
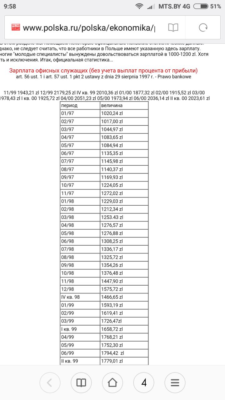
    Вот данные польской статистики по зарплате офисных служащих (а она обычно выше средней) двадцать лет назад
    Нажмите на изображение для увеличения.

Название:	Screenshot_2018-02-03-09-58-20-949_com.android.browser.jpg
Просмотров:	1
Размер:	115.0 Кб
ID:	3875316

    - - - Добавлено - - -

    [QUOTE=Турист;2381468]Олег1972.

    Было интересно почитать про соломенные крыши и про твою тещу...
    Поэтому поздравляб тебя с победой в споре с тещей...

    А раз ты уже вступил в спор, то посмотри и сообщи мне, другим и своей теще данные о размере текущей задолженности польского государственного пенсионного фонда.

    А критиковать выборочно и не мои цитаты, дело не хитрое.[QUOTE]
    Ну, раз ты просил быть внимательным к чужим цитатам, то и сам будь внимателен:
    1. Теща не моя.
    2. Про пенсионный фонд я ничего (ни одного слова) не писал.
    3. Разговор только о зарплате в Польше сейчас и два десятилетия тому.
    4. Про критику не твоих цитат вообще не понял. Это не твою цитату приводил?
    Нажмите на изображение для увеличения.

Название:	Screenshot_2018-02-03-10-15-26-291_com.android.browser.jpg
Просмотров:	1
Размер:	80.6 Кб
ID:	3875317
    Последний раз редактировалось ОЛЕГ1972; 03.02.2018, 10:20.

    Прокомментировать:


  • Турист
    Участник ответил
    Олег1972.

    Было интересно почитать про соломенные крыши и про твою тещу.

    Но опять остается главный вопрос. Я не повелся и не стал вступать с тобой в дискуссию потому что выводы, которые ты сделал и споришь - это твои выврды, а не мои ��.
    Поэтому поздравляб тебя с победой в споре с тещей, но я вообще написал без выводов информацию, которую можно проверить, используя польские статистические официальные данные, а можно просто не доверять, если не хочется.

    А раз ты уже вступил в спор, то посмотри и сообщи мне, другим и своей теще данные о размере текущей задолженности польского государственного пенсионного фонда.
    Вот это будет достойный ответ Чемберлену, то есть мне. Потому что я не отказываюсь, что именно об этом я писал.
    А критиковать выборочно и не мои цитаты, дело не хитрое. Bright, как человек в общем неглупый, это уже понял и исправился, перешел к конструктивным действиям.

    - - - Добавлено - - -

    Сообщение от ОЛЕГ1972 Посмотреть сообщение
    Ну так предоставь и делу конец. Если статистика покажет, что поляки в 1998 году зарабатывали полторы тысячи долларов, а в 2017 всего 1400, то тогда да, тогда конечно, тогда ты прав, а все не так поняли...
    Ну вот нормальный подход вижу.

    Запрошу у ребенка информацию. И статистику по соотношению доллар/средняя зарплата, и по долгам пенсионного фонда.
    А потом и выводы вместе сможем сделать. И Bright поможет.

    Прокомментировать:


  • ОЛЕГ1972
    Участник ответил
    Сообщение от Турист Посмотреть сообщение
    ... я могу предоставить такую информацию.
    Ну так предоставь и делу конец. Если статистика покажет, что поляки в 1998 году зарабатывали полторы тысячи долларов, а в 2017 всего 1400, то тогда да, тогда конечно, тогда ты прав, а все не так поняли...

    Прокомментировать:


  • Турист
    Участник ответил
    Bright

    Ну, ты хотя бы попытался. Уже это большой плюс. Потому что я тебя поймал за руку именно на том, в чем ты любишь упрекать своих собеседников - в некомпетентности.

    И если выбросить словесный мусор из твоего последнего поста, то останется математический расчет.

    Который что доказывает?

    1-й вывод будет такой. Твой предыдущий пост был некомпетентен. Ты невнимательно прочитал мою цитату. Из неправильного прочтения сделал неправильный вывод. Далее выдал свой неправильный вывод за мой. И после этого блестящей аргументацией положил свой неправильный вывод на лопатки.
    Со стороны ты смотрелся очень глупо для того, кто разбирается в законах логики. Особенно после того как ты пытаешься часто аппелировать к чужим логическим ошибкам.

    Второй вывод будет такой. Ты взял две исторические точки 2000 и 2017 годы и сделал сравнительный математический анализ этих двух точек, который выявил конфликт между проведенными расчетами и той информацией, которую я разместил со ссылкой на устный, внешний источник.
    Проведенное тобою исследование является выборочным, и верным для взятых двух расчетных исторических точек.
    Желаешь ли ознакомиться с полными польскими статистическими данными за последние 20 лет?
    Из уважения к собеседнику, я могу предоставить такую информацию.

    Прокомментировать:


  • ОЛЕГ1972
    Участник ответил
    Сообщение от Турист Посмотреть сообщение

    В моей цитате говорилось о сравнении заработной платы в Польше в пересчете на доллары США. Акцентирую внимание на этом моменте. Не на евро, не на белорусский рубль, не на гривну))))

    Поэтому было смешно читать Вашу дружескую критику "не согласен с Каутским". �� не читая Каутского.
    Беларусы со времён распада СССР живут в пересчёте на доллары, потому акцентировать внимание на этом не нужно, пересчет идёт автоматически уже.bright привел точные цифры, но и без этого я точно помню, что в 1998 году в Польше получали в среднем около трехсот долларов (не рублей, не марок, а долларов), а сейчас больше тысячи (тоже долларов). Отсюда дружеская критика - покайся перед партией и народом, мол, был не прав, случайно пытался ввести в заблуждение:D...
    Теща моего кума, если вдруг речь в разговоре заходила про Польшу, всегда и везде всех убеждала, что там до сих пор крыши на домах соломой кроют. Специально свозили ее туда на экскурсию. Всё своими глазами посмотрела, но про соломенные крыши и сейчас всё равно рассказывает. Наверно, сама себя так убедила, что своим глазам не верит...

    Прокомментировать:


  • bright
    Участник ответил
    поскольку с Каутским незнаком, и образование получал не во время сесесера, попробую на тот что знаю перевести

    на статистическом выглядит так:
    в 2000 году средняя польская зп без вычета налогов составляла 1,882 plz
    по курсу 12.2000 это составляло 421.12 usd
    в 2017 средняя польская зп без вычета налогов составляла 4.973 plz
    по курсу на 12.2017 это 1.402.93 usd

    на экономическом это выглядит в ввиде коэффициента, который мы назовем Turist' Bullshit Index a.k.a TBI
    у нас на калькуляторе были подсчеты в виде 1985-1978=7 и 1985-1978=5. разница в 2 еденицы при результате семь, соответсвенно TBI был 0.72
    теперь мы имеем разницу 981 при результате в 1402, соответсвенно он становиться 0.31
    соответсвенно волатильность хуже чем биткоина даж. другими словами сумасшедшие риски

    на математическом коэффициент 0.31 почти на половину хуже, чем просто полуложъ,
    а на логическом Олег1972 на 100% говорит правду.

    Прокомментировать:

Просматривают:

Свернуть

Обработка...
X